Задать свой вопрос   *более 50 000 пользователей получили ответ на «Решим всё»

Задача 41631 ПОМОГИТЕ ПОЖАЛУЙСТА , ОЧЕНЬ НУЖНО...

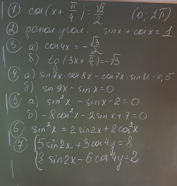
Условие

ПОМОГИТЕ ПОЖАЛУЙСТА , ОЧЕНЬ НУЖНО

математика 10-11 класс 941

Решение

1.
[m]cos(x+\frac{\pi}{4})=\frac{\sqrt{2}}{2}[/m]

[m]x+\frac{\pi }{4}= \pm arccos\frac{\sqrt{2}}{2}+2\pi n, n\in Z[/m]


[m]x= \pm arccos\frac{\sqrt{2}}{2} - \frac{\pi }{4} + 2\pi n, n\in Z[/m]

[m]x= \pm \frac{\pi }{4} - \frac{\pi }{4} + 2\pi n, n\in Z[/m]

Получаем две серии ответов:
[m]x=2\pi n, n\in Z[/m]
и
[m]x= - \frac{\pi }{2} + 2\pi n, n\in Z[/m]

Интервалу (0;2π)
принадлежит корень из второй серии:[m]x= - \frac{\pi }{2} [/m]

5.
а)
sin^2x-sinx-2=0

Квадратное уравнение.

[b]Замена[/b]:

sinx=t
t^2-t-2=0
D=1-4*(-2)=9
t_(1)=(1-3)/2=-1 или t_(2)=(1+3)/2=2

Обратный переход:
sinx=-1 ⇒ x=-[m]\frac{\pi}{2}[/m]+2πk, k ∈ Z

или

sinx=2 уравнение не имеет корней, так как |sinx| ≤ 1
О т в е т.-[m]\frac{\pi}{2}[/m]+2πk, k ∈ Z
б)

-8*cos^2x-2sinx+7=0

Так как
sin^2x+cos^2x=1, то cos^2x=1-sin^2x

-8*(1-sin^2x)-2sinx+7=0
-8+8sin^2x-2sinx+7=0

8sin^2x-2sinx-1=0

Квадратное уравнение.

[b]Замена[/b]:

sinx=t
8t^2-2t-1=0
D=4-4*8(-1)=36
t_(1)=(2-6)/16=-1/4 или t_(2)=(2+6)/16=1/2

Обратный переход:
sinx=-1/4 ⇒ x=(-1)^(k) arcsin(-1/4) +πk, k ∈ Z

или

sinx =1/2 ⇒ x=(-1)^(n) (π/6) +πn, k ∈ Z

О т в е т. (-1)^(k+1) arcsin(1/4) +πk, k ∈ Z; (-1)^(n) (π/6) +πn, k ∈ Z

6.
sin^2x=2sin2x+2cos^2x

Так как по формуле двойного угла:
sin2x=2*sinx*cosx

sin^2x=4*sinx*cosx+2cos^2x

sin^2x-4sinx*cosx-2cos^2x=0 - это однородное тригонометрическое уравнение второго порядка

Если вдруг sinx=0, то подставив вместо синуса 0 получим
0-4*0-2сos^2x=0 ⇒ cosx=0

Но sinx и cosx одновременно не могут равняться 0,
поэтому делим уравнение
либо на sin^2x, либо на сos^2x

Лучше на сos^2x, получим квадратное уравнение относительно тангенса:

tg^2x-4tgx -2=0
D=16-4*(-2)=24
sqrt(24)=sqrt(4*6)=2sqrt(6)

корни (4 ± 2sqrt(6))/2=2 ± sqrt(6)


[b]tgx=2-sqrt(6)[/b] ⇒ x=arctg(2-sqrt(6))+πk, k ∈ Z
или
[b]tgx=2+sqrt(6) [/b] ⇒ x=arctg(2+sqrt(6))+πk, k ∈ Z

О т в е т.
arctg(2-sqrt(6))+πk, k ∈ Z
arctg(2+sqrt(6))+πk, k ∈ Z

7.
Замена:
sin2x=a
cos4y=b

{5a+3b=8
{8a-6b=2

Умножаем первое уравнение на 2
{10a+6b=16
{8a-6b=2

Складываем
18а=18
а=1
b=(8-5a)/3=(8-5*1)/3=1

Обратный переход:
sin2x=1 ⇒ 2x=[m]\frac{\pi}{2}[/m]+2πk, k ∈ Z ⇒ x=[m]\frac{\pi}{4}[/m]+πk, k ∈ Z

cos4y=1 ⇒ 4y=2πn, n ∈ Z ⇒ y= [m]\frac{\pi}{2}[/m]n, n ∈ Z

О т в е т. ([m]\frac{\pi}{4}[/m]+πk,[m]\frac{\pi}{2}[/m]n), k,n ∈ Z

Написать комментарий

Меню

Присоединяйся в ВК