Задать свой вопрос   *более 50 000 пользователей получили ответ на «Решим всё»

Задача 41610 lim ( x - sin x ) / (x - tg x) x -> 0 ...

Условие

lim ( x - sin x ) / (x - tg x)
x -> 0

математика ВУЗ 662

Все решения

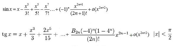
По формуле Тейлора с остаточным членов в форме Пеано:

sinx=x-(x^3/3!)+o(x^4)
tgx=x+(x^3/3) +о(x^4)

[m]\lim_{x \to 0 }\frac{x-sinx}{x-tgx}=\lim_{x \to 0 }\frac{x-(x-\frac{x^3}{3!}+o(x^4))}{x-(x+\frac{x^3}{3}+o(x^4))}=\lim_{x \to 0 }\frac{\frac{x^3}{3!}+o(x^4))}{-\frac{x^3}{3}-o(x^4))}=\frac{\frac{1}{3!}+0}{-\frac{1}{3}+0}=-\frac{1}{2}[/m]

2 способ Правило Лопиталя

[m]\lim_{x \to 0 }\frac{x-sinx}{x-tgx}=\lim_{x \to 0 }\frac{(x-sinx)`}{(x-tgx)`}=\lim_{x \to 0 }\frac{1-cosx}{1-\frac{1}{cos^2x}}=\lim_{x \to 0 }\frac{1-cosx}{\frac{cos^2x-1}{cos^2x}}=[/m]

[m]=\lim_{x \to 0 }\frac{-1\cdot cos^2x}{cosx+1}=-\frac{1}{2}[/m]

Написать комментарий

Меню

Присоединяйся в ВК