Задать свой вопрос   *более 50 000 пользователей получили ответ на «Решим всё»

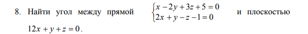
Задача 41604 Найти угол между прямой и плоскостью...

Условие

Найти угол между прямой и плоскостью

математика ВУЗ 5218

Решение

У прямой есть направляющий вектор, а плоскости нормальный.
Угол между прямой и плоскостью - угол между направляющим вектором прямой и нормальным вектором плоскости.

Нормальный вектор плоскости Ax+By+Cz+D=0:
vector{n}={A;B;C)

Из уравнения плоскости 12х+у+z=0 получаем:
[b]vector{n}={12;1;1)[/b]

Находим направляющий вектор прямой.
Прямая задана как линия пересечения двух плоскостей.

Найдем две точки, принадлежащие этой прямой как линии пересечения двух плоскостей

Таких точек бесчисленное множество

Обозначим одну точку как M, вторую как N

Пусть точка М такова, что ее первая координата равна 0.

Подставим х=0 в систему двух уравнений:
{-2y+3z+5=0
{y-z-1=0

Умножаем второе уравнение на 2
{-2y+3z+5=0
{2y-2z-2=0

Складываем: z+3=0 ⇒ z=-3
y=z+1=-3+1=-2

[b]M(0;-2;-3)[/b]

Пусть точка N такова, что ее третья координата равна 0
Подставим z=0 в систему двух уравнений:
{x-2y+5=0
{2x+y-1=0

Умножаем второе уравнение на 2
{x-2y+5=0
{2x+2y-2=0

Складываем: 3x+3=0 ⇒ x=-1
y=-2x-1=-2*(-1)-1=1

[b]N(-1;1;0)[/b]

[b]vector{MN}[/b]=(-1-0;1-(-2);0-(-3))=[b](-1;3;3)[/b] - направляющий вектор прямой

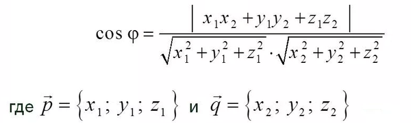
Угол между векторами vector{n}={12;1;1) и vector{MN}=(-1;3;3)
( см. формулу в приложении)

vector{n}* vector{MN}=12*(-1)+1*3+1*(3)=-6
| vector{n}|=sqrt(12^2+1^2+1^2)=sqrt(146)
|vector{MN}|=sqrt((-1)^2+3^2+3^2)=sqrt(19)

[m]cos(\angle (\vec{n},\vec{MN}))=\frac{|-6|}{\sqrt{146}\cdot \sqrt{19}}[/m]

[m]\angle (\vec{n},\vec{MN})=arccos \frac{6}{\sqrt{146}\cdot \sqrt{19}}[/m]

Написать комментарий

Меню

Присоединяйся в ВК