Задать свой вопрос   *более 50 000 пользователей получили ответ на «Решим всё»

Задача 41603 Реши уравнение 12/17-3а=6...

Условие

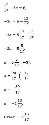
Реши уравнение 12/17-3а=6

математика 1-5 класс 1001

Все решения

[m]\frac{12}{17-3a}=6[/m]
Делим обе части уравнения на 6:
[m]\frac{2}{17-3a}=1[/m]

Дробь равна 1, если числитель равен знаменателю:

2=17-3а

2-17=-3а

-15 = -3а

а=5

О т в е т. 5


Написать комментарий

Меню

Присоединяйся в ВК