Задать свой вопрос   *более 50 000 пользователей получили ответ на «Решим всё»

Задача 41602 Реши уравнения 12/17-3а=6 ...

Условие

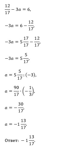
Реши уравнения 12/17-3а=6

математика 1-5 класс 580

Все решения

[m]\frac{12}{17-3a}=6[/m]

[m]\frac{12}{17-3a}=\frac{6}{1}[/m]

Применяем основное свойство пропорции:
[i]произведение крайних членов пропорции равно произведению средних[/i]

12*1=6*(17-3а)

2=17-3а

2-17=-3а

-15 = -3а

а=5

О т в е т. 5

Написать комментарий

Меню

Присоединяйся в ВК