Задать свой вопрос   *более 50 000 пользователей получили ответ на «Решим всё»

Задача 41569 4lg^2 x-3lgx=10 Метод введения новой...

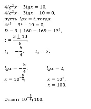
Условие

4lg^2 x-3lgx=10
Метод введения новой переменной
Пример
Lg^2 x=3-2lgx
Пусть lgx=y
y^2+2y-3=0
D=2^2 +4*1*3=16
y=-2+-4/2
y1=1
Y2=-3
Lgx=-3. ;;; lgx=1
X=10^-3 ;;;; x=10^1,E одз
X=0,001 ;;;;
Ответ:10^-3;10

математика ВУЗ 1031

Все решения

Написать комментарий

Меню

Присоединяйся в ВК