
[i]1 случай:[/i] если: [red]x^2-1 > 0[/red], то
|x^2-1|=x^2-1
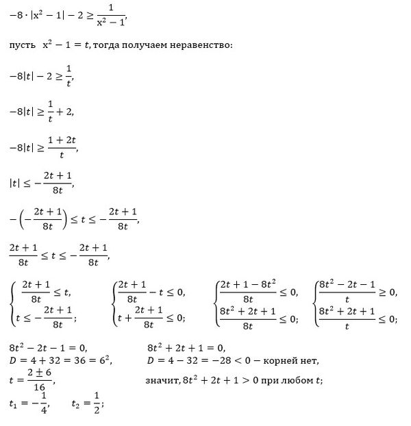
Обозначим:
x^2-1=t
Тогда неравенство принимает вид:
-8t -2 ≥ [m]\frac{1}{t}[/m]
8t+2+[m]\frac{1}{t}[/m] ≤ 0
[m]\frac{8t^2+2t+1}{t}[/m] ≤ 0
Квадратный трехчлен
8t^2+2t+1 >0 при любом t, так как D=2^2-4*8 < 0
Значит, неравенство выполняется при t <0,
т.е
[blue]x^2-1 < 0[/blue]
Неравенства [blue]x^2-1 < 0[/blue] противоречит условию первого случая.
Значит в первом случае неравенство не имеет решений
нет решений при x^2-1 >0
[i]2 случай [/i]если:
[red]x^2-1 < 0[/red]
|x^2-1|=-x^2+1
x^2-1=t
8t -2 ≥ [m]\frac{1}{t}[/m]
-8t+2+[m]\frac{1}{t}[/m] ≤ 0
[m]\frac{-8t^2+2t+1}{t}[/m] ≤ 0
[m]\frac{8t^2-2t-1}{t}[/m] ≥ 0
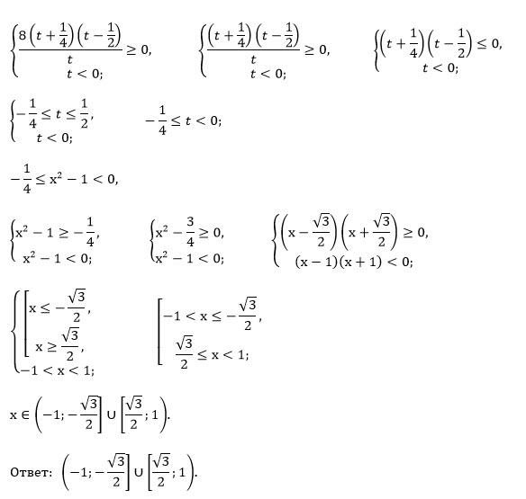
Решаем методом интервалов:
8t^2-2t-1=0
D=4+32=36
t_(1)=-0,25; t_(2)=0,5
____ [-0,25] _+__ (0) ___ [0,5] _+__
-0,25 ≤ t < 0 или t > 0, 5
Обратный переход:
-0,25 < x^2-1 < 0 или x^2-1 ≥ 0, 5 ( не удовл условию второго случая)
Поэтому решаем только первое неравенство:
-0,25 ≤ x^2 -1 < 0
Прибавляем 1 ко всем частям
0,75 ≤ x^2 < 1
0,75=3/4
Извлекаем корень
sqrt(3/4) ≤ |x| < 1
получаем два промежутка:
-1 < x ≤ -sqrt(3)/2 или sqrt(3)/2 ≤ x < 1
О т в е т. (-1; - sqrt(3)/2] U [sqrt(3)/2; 1)