Задать свой вопрос
*более 50 000 пользователей получили ответ на «Решим всё»
Задача 41555
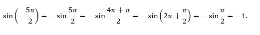
Найдите sin(-5p/2)...
Условие
vk288952222
2019-11-14 20:02:58
Найдите sin(-5p/2)
математика
1017
Решение
u821511235
2019-11-14 21:19:48
★
Написать комментарий
Меню
Решим всё
Найти задачу
Категории
Статьи
Тесты
Архив задач
Присоединяйся в ВК