Задать свой вопрос
*более 50 000 пользователей получили ответ на «Решим всё»
Задача 41482
...
Условие
ueisn
2019-11-12 19:37:40
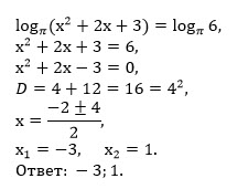
log(π) (x² + 2x + 3) = log(π) (6)
математика ВУЗ
637
Все решения
u821511235
2019-11-12 20:32:35
Написать комментарий
Меню
Решим всё
Найти задачу
Категории
Статьи
Тесты
Архив задач
Присоединяйся в ВК