Задать свой вопрос
*более 50 000 пользователей получили ответ на «Решим всё»
Задача 41469
...
Условие
vk387094608
2019-11-12 17:23:00
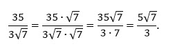
Избавьтесь от иррациональности в знаменателе дроби 35/3√7
математика 8-9 класс
2726
Все решения
u821511235
2019-11-13 12:44:10
Написать комментарий
Меню
Решим всё
Найти задачу
Категории
Статьи
Тесты
Архив задач
Присоединяйся в ВК