Задать свой вопрос   *более 50 000 пользователей получили ответ на «Решим всё»

Задача 41454 ...

Условие

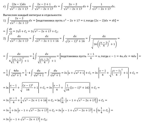
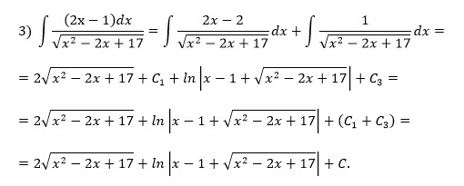
Г) ∫(2x-1)dx / √(x^2 - 2x + 17);

предмет не задан 791

Решение

Вопросы к решению (1)

Написать комментарий

Меню

Присоединяйся в ВК