Задать свой вопрос
*более 50 000 пользователей получили ответ на «Решим всё»
Задача 41453
...
Условие
vk131037300
2019-11-12 12:11:44
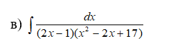
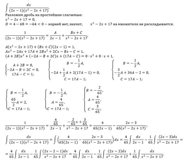
B) ∫ (dx) / ((2x - 1)(x^2 - 2x + 17))
математика ВУЗ
808
Все решения
u821511235
2019-11-12 14:43:58
Написать комментарий
Меню
Решим всё
Найти задачу
Категории
Статьи
Тесты
Архив задач
Присоединяйся в ВК