Задать свой вопрос
*более 50 000 пользователей получили ответ на «Решим всё»
Задача 41452
...
Условие
vk131037300
2019-11-12 12:08:36
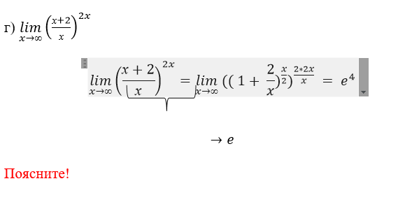
г) lim x→∞ ((x+2)/x)^2x
математика ВУЗ
622
Все решения
u821511235
2019-11-12 15:08:07
vk201218220
2019-11-12 14:07:21
Под второй замечательный видимо подогнали.
Написать комментарий
Меню
Решим всё
Найти задачу
Категории
Статьи
Тесты
Архив задач
Присоединяйся в ВК