Задать свой вопрос
*более 50 000 пользователей получили ответ на «Решим всё»
Задача 41451
...
Условие
vk131037300
2019-11-12 12:07:18
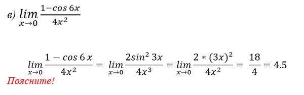
в) lim x→0 (1 - cos 6x) / 4x^2
Поясните!
математика ВУЗ
616
Все решения
u821511235
2019-11-12 13:34:32
Написать комментарий
Меню
Решим всё
Найти задачу
Категории
Статьи
Тесты
Архив задач
Присоединяйся в ВК