Задать свой вопрос
*более 50 000 пользователей получили ответ на «Решим всё»
Задача 41436
только 4 и 5 задания ...
Условие
dadaetoya
2019-11-11 19:51:47
только 4 и 5 задания
математика ВУЗ
564
Решение
sova
2019-11-11 20:02:59
★
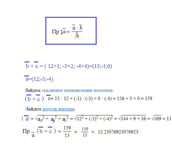
4.
Написать комментарий
Меню
Решим всё
Найти задачу
Категории
Статьи
Тесты
Архив задач
Присоединяйся в ВК