Задать свой вопрос   *более 50 000 пользователей получили ответ на «Решим всё»

Задача 41406 ...

Условие

ПОМОГИТЕ РЕШИТЬ ПОЖАЛУЙСТА ,СРОЧНО
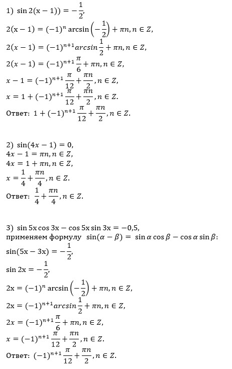
1)sin (2(x-1))= -1/2;
2)sin(4x-1)=0;
3)sin5x*cos3x-cos5x*sin3x=-0,5;
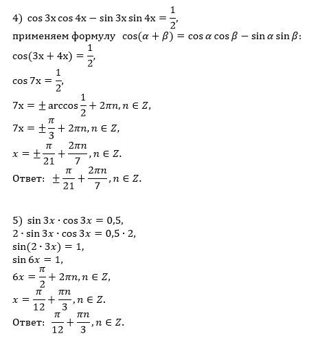
4)cos3x*cos4x-sin3x*sin4x=1/2;
5)sin3x*cos3x=0,5;
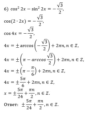
6)cos^2 2x-sin^2 2x=-√3/2

математика 10-11 класс 3318

Решение

Написать комментарий

Меню

Присоединяйся в ВК