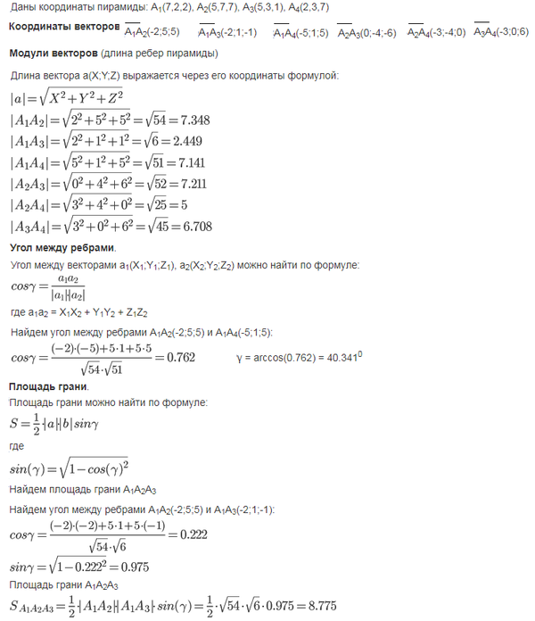
Даны координаты вершин пирамиды A1A2A3A4: A1(7;2;2), A2(5;7;7), A3(5;3;1), A4(2;3;7).
Найдите:
1) длину l ребра A1A2,
2) угол φ между ребрами A1A2 и A1A4,
3) площадь S грани A1A2A3,
4) объем V пирамиды A1A2A3A4,
5) высоту H пирамиды, опущенную из вершины A4.
Решение.
1. Длину l ребра A1A2 найдём, как длину вектора A1A2¯¯¯¯¯¯¯¯¯¯¯¯:
l=|A1A2¯¯¯¯¯¯¯¯¯¯¯¯|.
Найдём координаты вектора A1A2¯¯¯¯¯¯¯¯¯¯¯¯:
A1A2¯¯¯¯¯¯¯¯¯¯¯¯=(Answer for part 1 and coordinate 1
; Answer for part 1 and coordinate 2
; Answer for part 1 and coordinate 3
).
Найдём длину l ребра A1A2:
l=|A1A2¯¯¯¯¯¯¯¯¯¯¯¯|=Answer for part 1 and coordinate 4
.
