Задать свой вопрос   *более 50 000 пользователей получили ответ на «Решим всё»

Задача 41330 1) найти область определения 2) решить...

Условие

1) найти область определения
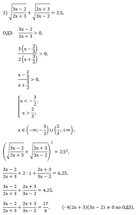
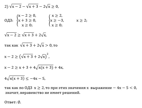
2) решить неравенство (3 любые примера)
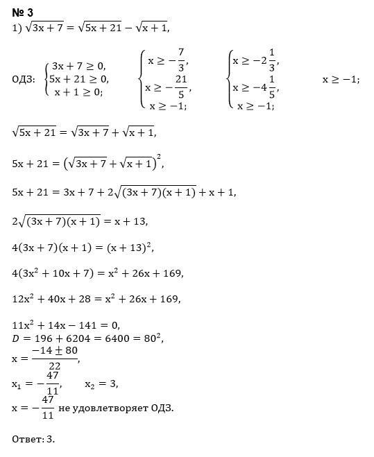
3) решить уравнение(3 любых )

математика 10-11 класс 910

Решение

Вопросы к решению (2)

Написать комментарий

Меню

Присоединяйся в ВК