Задать свой вопрос   *более 50 000 пользователей получили ответ на «Решим всё»

Задача 41319 ...

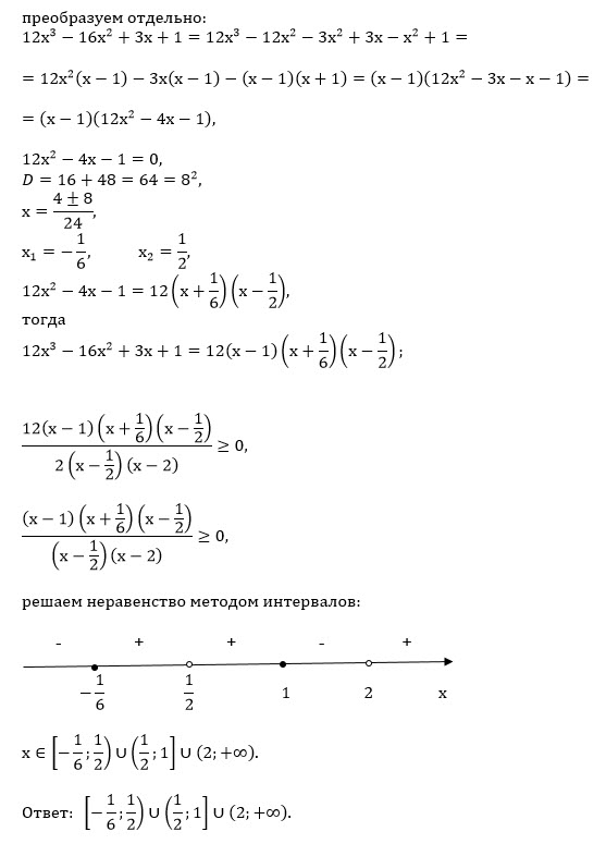
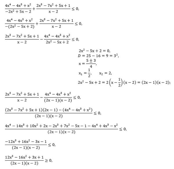
Условие

Решите неравенство
[block](4x^4 - 4x^3 + x^2)/(-2x^2 + 5x - 2) + (2x^3 - 7x^2 + 5x + 1)/(x - 2) ≤ 0[/block]

математика 1402

Решение

Написать комментарий

Категория

Меню

Присоединяйся в ВК