Задать свой вопрос
*более 50 000 пользователей получили ответ на «Решим всё»
Задача 41318
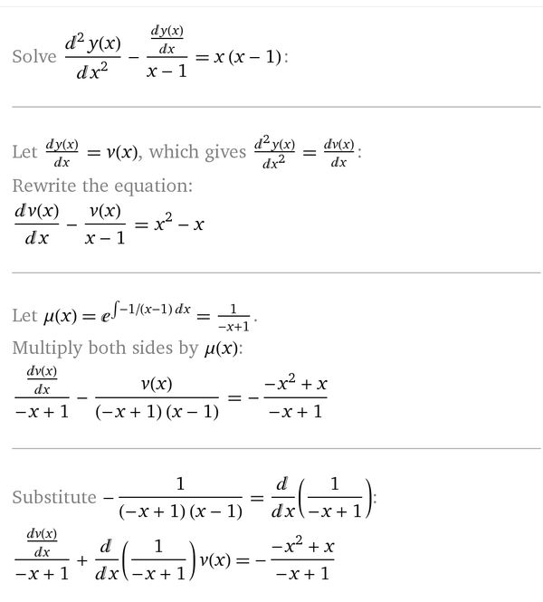
Найти общее решение y''-y'/(x-1)=...
Условие
vk289444173
2019-11-07 21:55:20
Найти общее решение
y''-y'/(x-1)= x(x-1), y(2)=1, y'(2)=-1
математика ВУЗ
759
Все решения
slava191
2019-11-08 00:03:21
Написать комментарий
Меню
Решим всё
Найти задачу
Категории
Статьи
Тесты
Архив задач
Присоединяйся в ВК