Задать свой вопрос
*более 50 000 пользователей получили ответ на «Решим всё»
Задача 41301
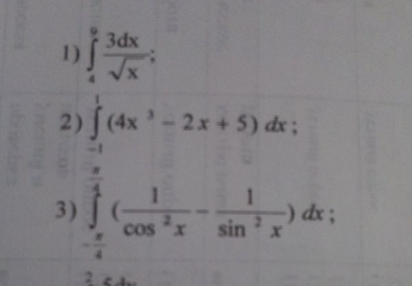
помогите решить 1 и 3) ...
Условие
vk492803606
2019-11-07 15:06:23
помогите решить 1 и 3)
математика 10-11 класс
575
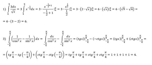
Решение
u821511235
2019-11-07 20:46:18
★
Написать комментарий
Меню
Решим всё
Найти задачу
Категории
Статьи
Тесты
Архив задач
Присоединяйся в ВК