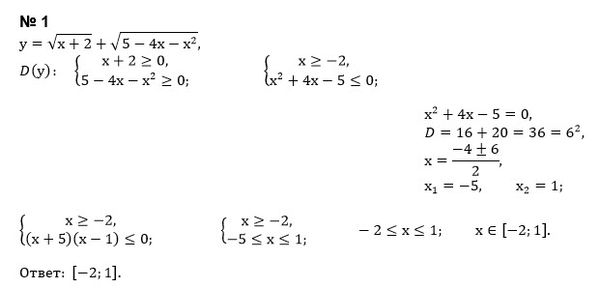
Y= sqrt(x+2) + sqrt(5-4x-x^2)
Решить уравнение
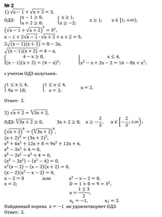
1) sqrt(x-1+sqrt(x+2))=3
2))sqrt(x+2)=∛3x+2
3) sqrt(2x-1) - sqrt(x-4)= sqrt(x-1)
Решить неравенство
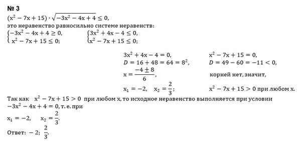
1) (x^2 -7x+15) sqrt(-3x^2-4x+4)<=0



{5-4x-x^2 ≥ 0 ⇒ x^2+4x- 5 ≤ 0 ⇒ D=16+20=36; корни -5 и 1; -5 ≤ x ≤ 1
О т в е т. D(y)=[-2;1]
1)
Возводим в квадрат:
(sqrt(x-1))^2+2*sqrt(x-1)*sqrt(x+2)+(sqrt(x+2))^2=3^2
х-1+2sqrt(x-1)*sqrt(x+2)+x+2=9
2sqrt(x-1)*sqrt(x+2)=8-2x
sqrt(x-1)(x+2)=4-x
Возводим в квадрат
(x-1)(x+2)=(4-x)^2
x^2-x+2x-2=16-8x+x^2
9x=18
x=2
так как дважды возводили в квадрат, могли появиться посторонние корни
Проверка
При х=2
sqrt(2-1)+sqrt(2+2)=3 - верно, так как 1+2=3
О т в е т. х=2
3) аналогично:
Перепишем:
sqrt(2x-1)=sqrt(x-4)+sqrt(x-1)
Возводим в квадрат:
2х-1=x-4+2*sqrt(x-4)*sqrt(x-1)+x-1
2*sqrt(x-4)*sqrt(x-1)=4
sqrt(x-4)*sqrt(x-1)=2
Возводим в квадрат:
(x-4)(x-1)=4
x^2-5x+4=4
x^2-5x=0
x*(x-5)=0
x=0; x-5=0 ⇒ x=5
Проверка:
х=0 - посторонний корень, так как sqrt(2*0-1) не существует
при х=5
sqrt(2*5-1)-sqrt(5-4)=sqrt(5-1) - верно, 3-1=2
О т в е т. х=5
2) Условие непонятно написано, что под корнем кубическим???
Если так:
sqrt(x+2)=∛(3x+2)
Тогда возводим в шестую степень:
(x+2)^3=(3x+2)^2
x^3+6x^2+12x+8=9x^2+12x+4
x^3-3x^2+4=0
x^3+1-3x^2+3=0
Раскладываем на множители:
(x+1)(x^2-x+1)-3(x-1)(x+1)=0
(x+1)*(x^2-x+1-3x+3)=0
(x+1)*(x^2-4x+4)=0
(x+1)(x-2)=0
x=-1 или x=2
Проверкой убеждаемся, что
x=-1 - посторонний корень,
sqrt(-1+2)=∛(3*(-1)+2) - неверно, так как sqrt(1) ≠ -1
x=2 - корень, так как sqrt(2+2)=∛(3*2+2) - верно, sqrt(4)=2
О т в е т. х=2
Неравенство:
имеет смысл, если подкоренное выражение неотрицательно, т.е
–3x^2–4x+4 ≥ 0 ⇒ 3x^2+4x-4 ≤ 0
D=16-4*3*(-4)=16+48=64
x_(1)=-2; x_(2)=2/3
-2 ≤ х ≤ (2/3)
Так как при -2 ≤ х ≤ (2/3)
sqrt(–3x^2–4x+4 ) ≥ 0 и
x^2-7x+15 > 0 при любом х, так как D=49-4*15 <0, то
Неравенство верно при x=-2; x=2/3
При этих значениях корень обращается в ноль.
О т в е т. -2; 2/3