Задать свой вопрос   *более 50 000 пользователей получили ответ на «Решим всё»

Задача 41228 ...

Условие

Помогите ❤️
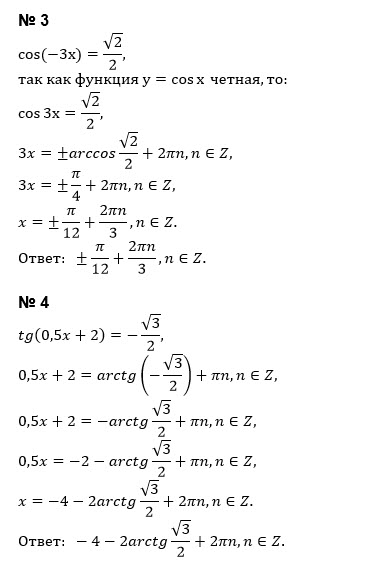
1)sin3x*cos4x+cos3x*sin4x=√3/2
2)cos8x*cos4x+sin8x*sin4x=-1/2
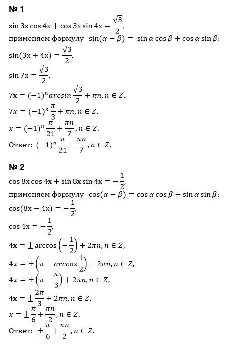
3)cos(-3x)=√2/2
4)tg(0,5x+2)=-√3/2
5)ctg(π/4-2x)=1

математика 10-11 класс 5799

Решение

Написать комментарий

Меню

Присоединяйся в ВК