Задать свой вопрос   *более 50 000 пользователей получили ответ на «Решим всё»

Задача 41195 Условная реакция полимеризации при...

Условие

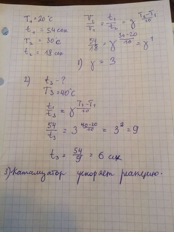
Условная реакция полимеризации при температуре 20°С заканчивается через 54 с, а при 30°С через 18 секунд вычислите температурный коэффициент скорости данной реакции. Через сколько секунд прореагирурт данная смесь при температуре 40°С? Как изменится скорость реакции полимеризации при добавлении катализатора ?

химия ВУЗ 2043

Все решения

Написать комментарий

Меню

Присоединяйся в ВК