Задать свой вопрос
*более 50 000 пользователей получили ответ на «Решим всё»
Задача 41126
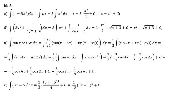
помогите решить номер 3 ...
Условие
vk280770680
2019-10-31 06:46:32
помогите решить номер 3
математика
506
Решение
u821511235
2019-10-31 07:56:36
★
Написать комментарий
Меню
Решим всё
Найти задачу
Категории
Статьи
Тесты
Архив задач
Присоединяйся в ВК