Задать свой вопрос
*более 50 000 пользователей получили ответ на «Решим всё»
Задача 41125
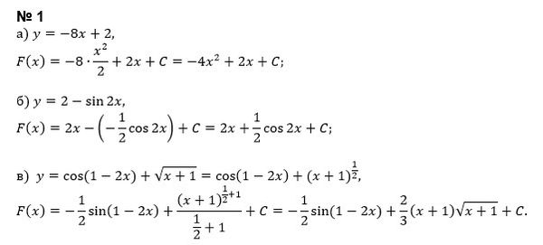
помогите решить номер 1 ...
Условие
vk492803606
2019-10-31 06:43:57
помогите решить номер 1
математика 10-11 класс
534
Решение
u821511235
2019-10-31 07:57:04
★
Написать комментарий
Меню
Решим всё
Найти задачу
Категории
Статьи
Тесты
Архив задач
Присоединяйся в ВК