Задать свой вопрос
*более 50 000 пользователей получили ответ на «Решим всё»
Задача 41123
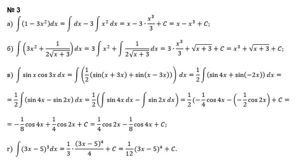
Помогите решить пожалуйста номер 3 ...
Условие
vk492803606
2019-10-31 05:00:11
Помогите решить пожалуйста номер 3
математика 10-11 класс
558
Решение
u821511235
2019-10-31 07:58:02
★
Написать комментарий
Меню
Решим всё
Найти задачу
Категории
Статьи
Тесты
Архив задач
Присоединяйся в ВК