Задать свой вопрос   *более 50 000 пользователей получили ответ на «Решим всё»

Задача 41116 ...

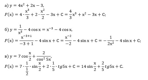
Условие

Найдите общий вид первообразных для функций:

a) y = 4x² + 2x - 3; б) y = 1/x³ - 4cosx; в) y = 7cos(x/2) + 2/cos²(5x)

математика ВУЗ 575

Решение

Написать комментарий

Меню

Присоединяйся в ВК