Задать свой вопрос
*более 50 000 пользователей получили ответ на «Решим всё»
Задача 41100
...
Условие
vk444966135
2019-10-30 05:19:07
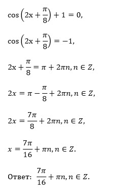
Cos(2x+π/8)+1
математика ВУЗ
610
Все решения
u821511235
2019-10-30 06:01:49
Написать комментарий
Меню
Решим всё
Найти задачу
Категории
Статьи
Тесты
Архив задач
Присоединяйся в ВК