«Векторы в пространстве»
Вариант №6
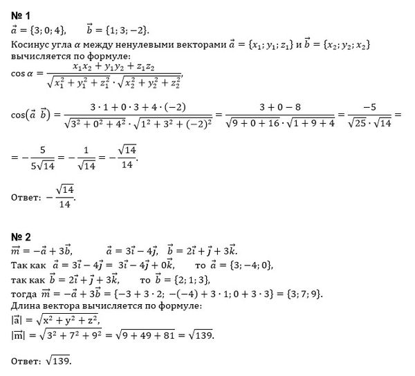
1. Найти cos угла между векторами: a {3; 0; 4} и b {1; 3; -2}.
2. Вычислить длину вектора m = -a + 3b, если а = 3i - 4j и
b = 2i + j + 3k.
3. Коллинеарны ли векторы a = 4i - 3j + 5k и b = 2i - 1,5j + 2k?
4. При каком значении «m» векторы взаимно перпендикулярны, если a {2m; 4; 3} и b {4; 6; 5}.
5. Вычислить скалярное произведение векторов (a - 2b) - 3a, если
а {2; 3; -1} и b {5; -1; -4}.

