Задать свой вопрос
*более 50 000 пользователей получили ответ на «Решим всё»
Задача 41088
...
Условие
asyeio
2019-10-29 18:01:24
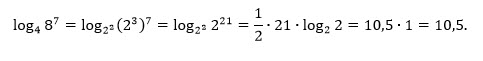
log₄(8)⁷
математика ВУЗ
599
Решение
u821511235
2019-10-29 20:14:04
★
Написать комментарий
Меню
Решим всё
Найти задачу
Категории
Статьи
Тесты
Архив задач
Присоединяйся в ВК