Задать свой вопрос
*более 50 000 пользователей получили ответ на «Решим всё»
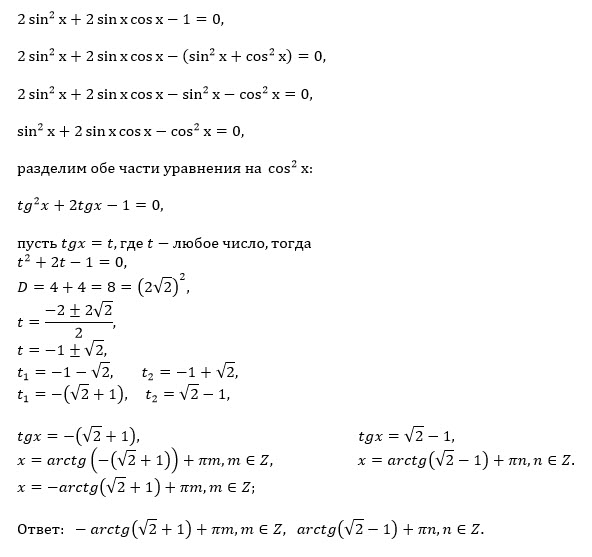
Задача 41059
Решите уравнение с исследованием ОДЗ на...
Условие
vk288952222
2019-10-28 20:32:47
Решите уравнение с исследованием ОДЗ на окружности
математика
705
Решение
u821511235
2019-10-28 22:28:37
★
Написать комментарий
Меню
Решим всё
Найти задачу
Категории
Статьи
Тесты
Архив задач
Присоединяйся в ВК