Задать свой вопрос
*более 50 000 пользователей получили ответ на «Решим всё»
Задача 41052
...
Условие
tsu
2019-10-28 19:57:44
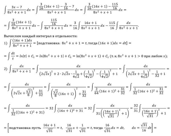
∫ (3x - 7) / (8x² + x + 1) dx
математика ВУЗ
566
Решение
u821511235
2019-10-28 21:02:51
★
Написать комментарий
Меню
Решим всё
Найти задачу
Категории
Статьи
Тесты
Архив задач
Присоединяйся в ВК