Задать свой вопрос
*более 50 000 пользователей получили ответ на «Решим всё»
Задача 41037
Найти общее решение уравнения x(x +...
Условие
vk266567115
2019-10-28 14:46:19
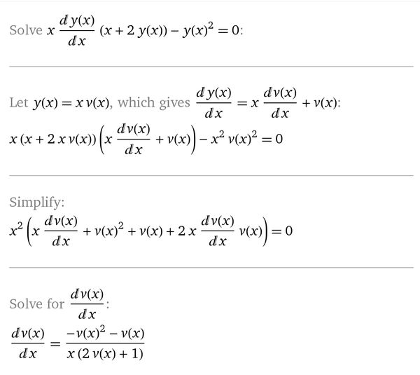
Найти общее решение уравнения
x(x + 2y)dy - y^2dx = 0
математика ВУЗ
754
Все решения
slava191
2019-10-28 15:39:49
Написать комментарий
Меню
Решим всё
Найти задачу
Категории
Статьи
Тесты
Архив задач
Присоединяйся в ВК