Задать свой вопрос   *более 50 000 пользователей получили ответ на «Решим всё»

Задача 41032 4. Сравни. 320 : 8 • 5 : (201 - 191) и...

Условие

4. Сравни.
320 : 8 • 5 : (201 - 191) и 20
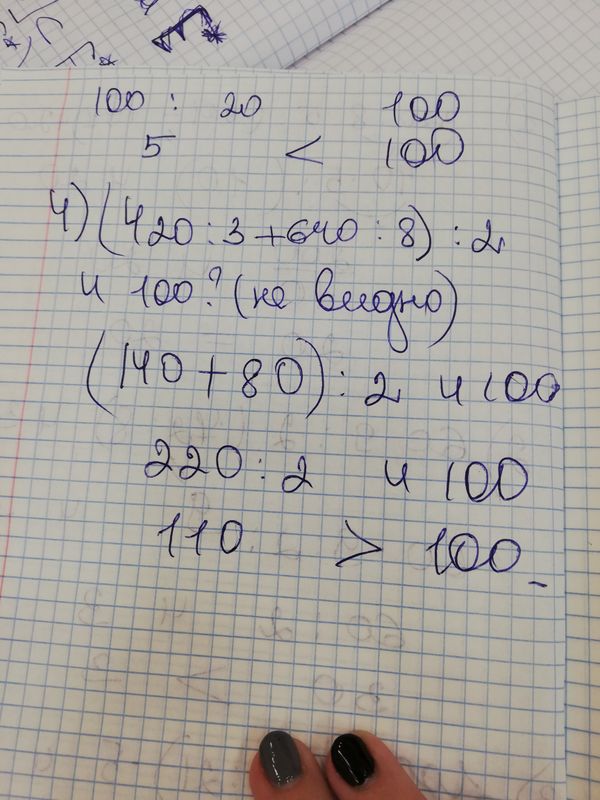
100 : (84 : 21) • 5 и 100
60 * 9 : 2 : (72 : 8) и 3
(420 : 3 + 640 : 8) : 2 и 100

математика 1-5 класс 1263

Все решения

Написать комментарий

Меню

Присоединяйся в ВК