Задать свой вопрос   *более 50 000 пользователей получили ответ на «Решим всё»

Задача 41021 из всего пути без 3 км туристы прошли в...

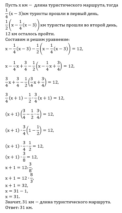
Условие

из всего пути без 3 км туристы прошли в первый день 1/4 часть. Во второй половину оставшегося путь, после чего осталось пройти 12 км. найти длинну туристического маршрута

математика 1-5 класс 1068

Все решения

Написать комментарий

Меню

Присоединяйся в ВК