Задать свой вопрос   *более 50 000 пользователей получили ответ на «Решим всё»

Задача 41010 Написать уравнение окружности ,...

Условие

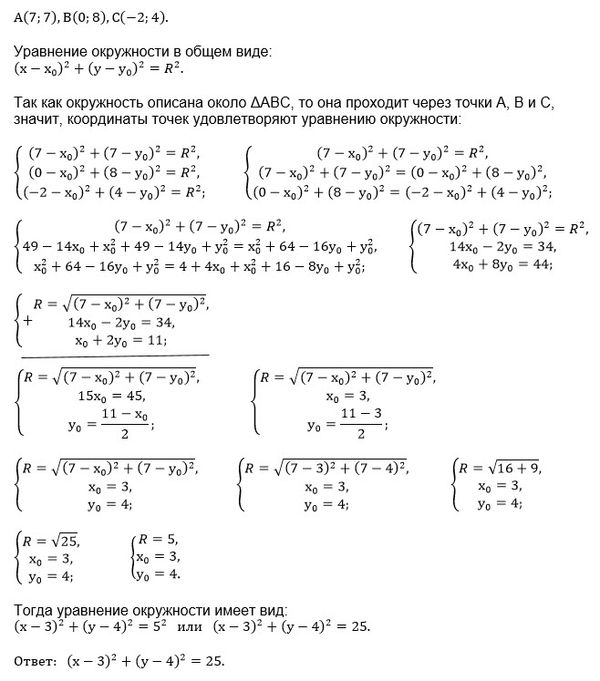
Написать уравнение окружности , описанной около треугольника ABC, вершины которого A(7;7), B(0;8), C(-2:4)

математика ВУЗ 6206

Все решения

Написать комментарий

Меню

Присоединяйся в ВК