Задать свой вопрос   *более 50 000 пользователей получили ответ на «Решим всё»

Задача 40980 Выполнить действия с комплексными...

Условие

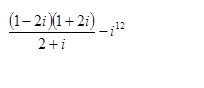
Выполнить действия с комплексными числами в алгебраической фор¬ме. Результат записать в тригонометрической и показательной формах:

математика ВУЗ 756

Решение

[m]\frac{(1-2i)(1+2i)}{2+i}-i^{32}=\frac{1-(2i)^2}{2+i}-(i^{4})^{8}=\frac{1-(-4)}{2+i}-(1)^{8}=\frac{5}{2+i}-1=[/m]

[m]=\frac{5-2-i}{2+i}=\frac{3-i}{2+i}=[/m]

[m]\frac{(3-i)(2-i)}{(2+i)(2-i)}=\frac{6-2i-3i+i^2}{4-i^2}=\frac{6-5i-1}{5}=\frac{5-5i}{5}=1-i[/m]

|1-i|=sqrt(1^2+(-1)^2)=sqrt(2)

[m]arg(1-i)=\frac{-\pi}{4}[/m]

[m]1-i=\sqrt{2}\cdot (cos(\frac{-\pi}{4})+isin(\frac{-\pi}{4}))=

\sqrt{2}(cos(\frac{\pi}{4})-sin(\frac{\pi}{4}))[/m] - в тригонометрической

[m]1-i=\sqrt{2}\cdot e^{\frac{-\pi}{4}i}[/m]- в показательной

Написать комментарий

Меню

Присоединяйся в ВК