Задать свой вопрос
*более 50 000 пользователей получили ответ на «Решим всё»
Задача 40970
Помагите пожалуйста! Сделайте что...
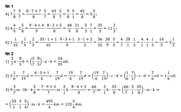
Условие
vk522961057
2019-10-25 06:42:50
Помагите пожалуйста!
Сделайте что сможете!
Даю 48 баллов
математика 6-7 класс
446
Решение
u821511235
2019-10-25 07:10:39
★
Написать комментарий
Меню
Решим всё
Найти задачу
Категории
Статьи
Тесты
Архив задач
Присоединяйся в ВК