Задать свой вопрос
*более 50 000 пользователей получили ответ на «Решим всё»
Задача 40954
...
Условие
vk500723257
2019-10-24 18:44:33
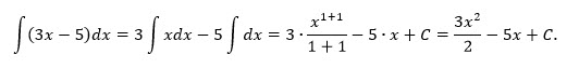
∫ (3x-5)dx=
предмет не задан
545
Все решения
u821511235
2019-10-24 18:48:23
Написать комментарий
Меню
Решим всё
Найти задачу
Категории
Статьи
Тесты
Архив задач
Присоединяйся в ВК