Задать свой вопрос   *более 50 000 пользователей получили ответ на «Решим всё»

Задача 4093 Сократить дроби, считая, что переменные...

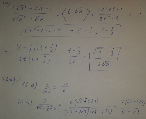
Условие

Сократить дроби, считая, что переменные принимают неотрицательные значения

математика 10-11 класс 2239

Решение

31, 35, 36... по остальным могу толко подасказать, там где сравнить я бы делал на вскидку, ну типо сколько это примерно будет равно. Остальные на знаменатель я бы посмотрел формулы сокращенного умножения для куба и так далее

Написать комментарий

Меню

Присоединяйся в ВК