Задать свой вопрос
*более 50 000 пользователей получили ответ на «Решим всё»
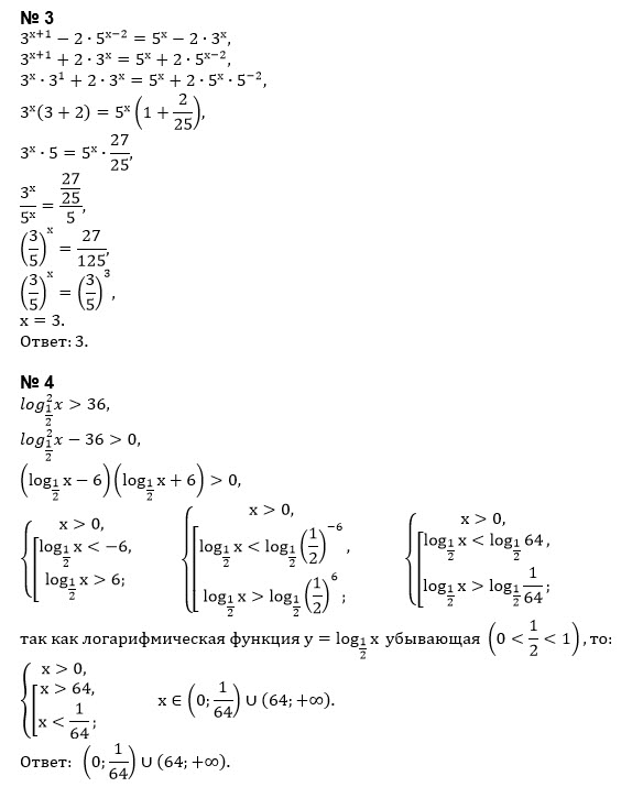
Задача 40919
Задание на картинке...
Условие
vk102782055
2019-10-24 00:21:26
Задание на картинке
математика 10-11 класс
664
Все решения
u821511235
2019-10-24 07:16:18
Написать комментарий
Меню
Решим всё
Найти задачу
Категории
Статьи
Тесты
Архив задач
Присоединяйся в ВК