Задать свой вопрос
*более 50 000 пользователей получили ответ на «Решим всё»
Задача 40918
...
Условие
vk131037300
2019-10-24 00:02:21
a) ∫ (2 - 3ctg^2 x dx) / cos^2 x ;
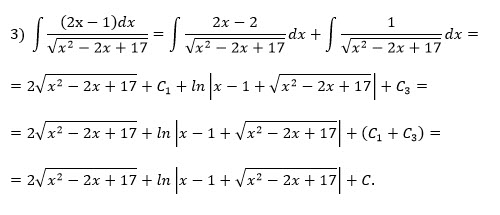
r) ∫ (2x - 1) dx / √(x^2 - 2x + 17) ;
математика ВУЗ
685
Все решения
u821511235
2019-10-24 08:43:37
Написать комментарий
Меню
Решим всё
Найти задачу
Категории
Статьи
Тесты
Архив задач
Присоединяйся в ВК