Задать свой вопрос
*более 50 000 пользователей получили ответ на «Решим всё»
Задача 40840
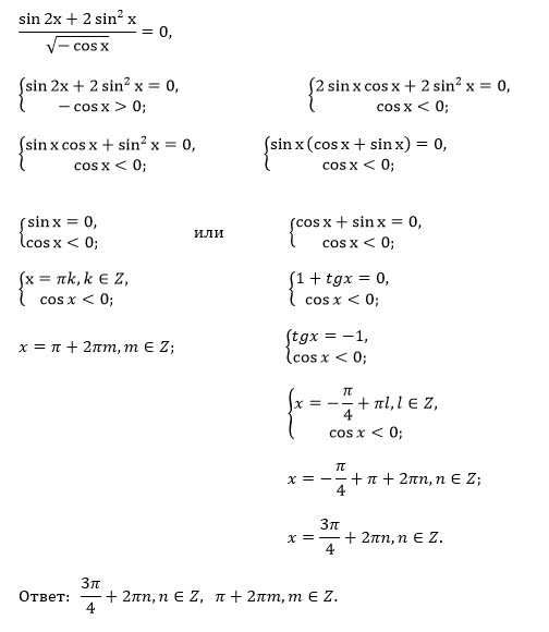
[m] \frac{sin{2x} + 2 sin^{2}...
Условие
vk274990471
2019-10-22 10:49:54
[m] \frac{sin{2x} + 2 sin^{2} x}{\sqrt{-cos{x}}} = 0. [/m]
математика 10-11 класс
1161
Решение
u821511235
2019-10-22 12:30:57
★
Написать комментарий
Меню
Решим всё
Найти задачу
Категории
Статьи
Тесты
Архив задач
Присоединяйся в ВК