Задать свой вопрос   *более 50 000 пользователей получили ответ на «Решим всё»

Задача 40829 Помогите решить пожалуйста,...

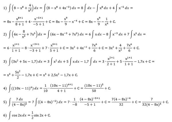
Условие

Помогите решить пожалуйста, неопределенный интеграл!!!

1.$(8-х^8+4/х^5)dx
2.$(6x-8/x^3+7x^5)dx
3.$(3x^2+5x-1,7)dx
4.$((10x-11)^4)dx
5.$(7dx)/(4-8x)^5
6.$cos2xdx

математика 1648

Все решения

Написать комментарий

Меню

Присоединяйся в ВК