Задать свой вопрос
*более 50 000 пользователей получили ответ на «Решим всё»
Задача 40806
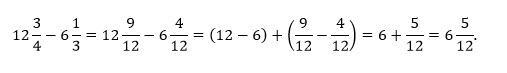
Найдите значение выражения 12 3/4-6 1/3...
Условие
2006
2019-10-21 16:10:29
Найдите значение выражения 12 3/4-6 1/3
математика 6-7 класс
1122
Все решения
u821511235
2019-10-21 16:43:03
vk487231547
2019-10-21 16:26:39
12 3/4 - 6 1/3 =(12-6)+(3/4-1/3)=6+ 5/12=6 5/12=77/12
Написать комментарий
Меню
Решим всё
Найти задачу
Категории
Статьи
Тесты
Архив задач
Присоединяйся в ВК