Задать свой вопрос
*более 50 000 пользователей получили ответ на «Решим всё»
Задача 40786
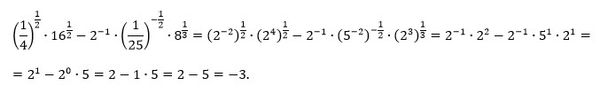
(1/4)^1/2 * 16^1/2 - 2^-1 * (1/25)^-1/2...
Условие
gffghy4
2019-10-21 08:11:09
(1/4)^1/2 * 16^1/2 - 2^-1 * (1/25)^-1/2 *8^1/3
математика ВУЗ
863
Решение
u821511235
2019-10-21 08:56:36
★
Написать комментарий
Меню
Решим всё
Найти задачу
Категории
Статьи
Тесты
Архив задач
Присоединяйся в ВК