Задать свой вопрос
*более 50 000 пользователей получили ответ на «Решим всё»
Задача 40784
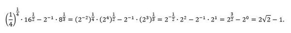
(1/4)^1/4 *16^1/2 - 2^-1 *8^1/3...
Условие
gffghy4
2019-10-21 07:26:40
(1/4)^1/4 *16^1/2 - 2^-1 *8^1/3
математика ВУЗ
538
Решение
u821511235
2019-10-21 08:01:26
★
Написать комментарий
Меню
Решим всё
Найти задачу
Категории
Статьи
Тесты
Архив задач
Присоединяйся в ВК