Задать свой вопрос
*более 50 000 пользователей получили ответ на «Решим всё»
Задача 40774
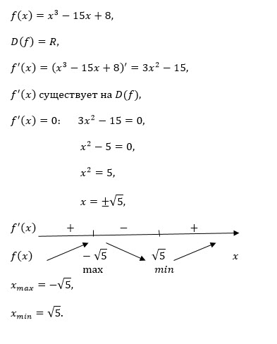
Найдите точки экстермума функции: f(x) =...
Условие
nikolay179540
2019-10-20 23:03:38
Найдите точки экстермума функции: f(x) = x^3-15x+8
математика
1131
Решение
u821511235
2019-10-21 05:39:46
★
Все решения
vk201218220
2019-10-20 23:16:01
f'(x)=3x^2-15=0 ⇒ x=+-sqrt(5)
Написать комментарий
Меню
Решим всё
Найти задачу
Категории
Статьи
Тесты
Архив задач
Присоединяйся в ВК