Задать свой вопрос   *более 50 000 пользователей получили ответ на «Решим всё»

Задача 40773 расставьте коэффициенты в схемах...

Условие

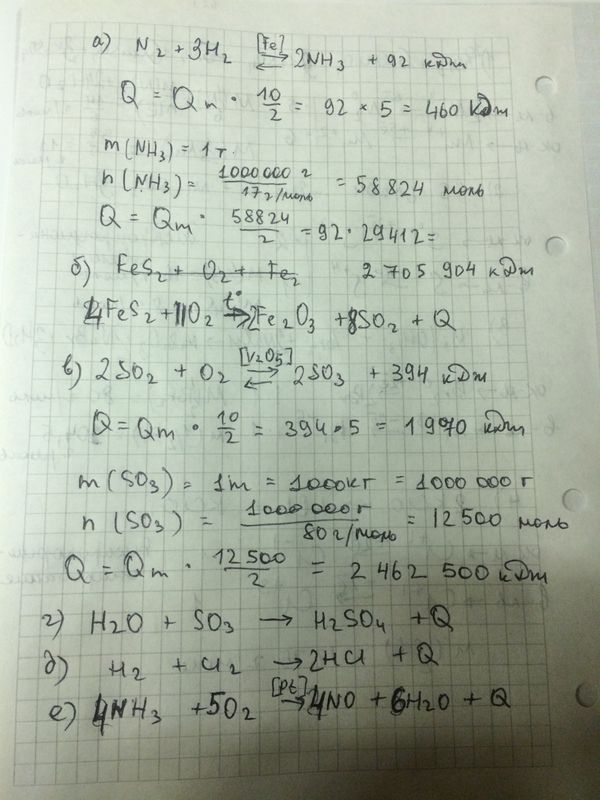
расставьте коэффициенты в схемах реакций. рассчитайте количество теплоты, которое выделяется в реакциях (а) и (в) при получения продукта:(1) количеством вещества 10 моль,(2) массой 1 т.

химия 3k класс 1034

Решение

Написать комментарий

Меню

Присоединяйся в ВК